网站首页  词典首页


请输入您要查询的字词:

 

字词 头孢帕罗
类别 中英文字词句释义及详细解析
释义 头孢帕罗

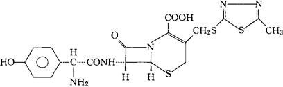
C19H19N5O5S3=493.57

CAS-51627-20-4

[6R-[6α,7β(R*)]]-7-[[氨基(4-羟苯基)乙酰]氨基]-3-[[(1甲基-1H-四唑-5-基)硫代]甲基]-8-氧代-5-硫杂-1-氮杂双环[4.2.0]-辛-2烯-2-羧酸。

5-Thia-l-azabicyclo[4.2.0]oct-2-ene-2-carboxylicacid,7-[[amino(4-hydroxyphenyl)acethyl]amino]-3-[[(l-methyl-lH-tetraz-ol-5-yl)thio]metyl]-8-oxo-,[6R-[6α,7β(R*)]]-.

(6R,7R)-7-[(R)-2-氨基-2-(对-羟基苯基)乙酰胺基]-3-[[5-甲基-1,3,4-噻二唑-2-基)硫代]甲基]-8-氧代-5-硫杂-1-氮杂双环[4.2.0]辛-2-烯-2-羧酸。

(6R,7R)-7-[(R)-2-Amino-2-(p-hydroxyphenyl)acetamido]-3-[[(5-methy1-l,3,4-thiadiazol-2-yl-)thio]methyl]-8-oxo-5-thia-l-azabicyclo[4.2.0]oct2-ene-2-carboxylic acid.

抗生素类药。

头孢派罗。

Cefaparole.

INN,USAN.

随便看

 

离鸟网收录3541549条中英文词条,其功能与新华字典、现代汉语词典、牛津高阶英汉词典等各类中英文词典类似,基本涵盖了全部常用中英文字词句的读音、释义及用法,是语言学习和写作的有利工具。

 

Copyright © 2004-2024 vtrois.com All Rights Reserved
更新时间:2026/4/18 4:22:58