网站首页  词典首页


请输入您要查询的字词:

 

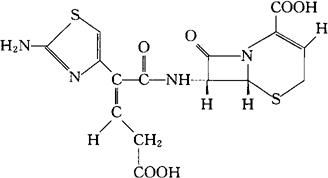
字词 头孢布烯
类别 中英文字词句释义及详细解析
释义 头孢布烯

C15H14N4O6S2=410.42

CAS-97519-39-6

[6R[6α,7β(Z)]]-7-[[2-(2-氨基-4-噻唑基)-4-羧-1-氧代-2-丁烯基]氨基]-8-氧代-5-硫杂-1-氮杂双环[4.2.0]辛-2-烯-2-羧酸。

[6R[6α,7β(Z)]]-7-[[2-(2-Amino-4-thiazolyl)-4-carboxy-1-oxo-2-butenyl]amino]-8-oxo-5-thia-1-azabicyclo[4.2.0]oct-2-ene-2-carboxylic acid.

(+)-(6R,7R)-7-[(Z)-2-(2-氨基-4-噻唑基)-4-羧基巴豆酰胺基]-8-氧代-5-硫杂-1-氮杂双环[4.2.0]辛-2-烯-2-羧酸。

(+)-(6R,7R)-7-[(Z)-2-(2-Amino-4-thiazolyl)-4-carboxycrotonamido]-8-oxo-5-thia-1-azabicyclo[4.2.0]oct-2-ene-2-carboxylic acid.

抗生素类药。

头孢布坦。

Ceftibuten,Sch 39720,7432-S.

INN,BAN,USAN.

随便看

 

离鸟网收录3541549条中英文词条,其功能与新华字典、现代汉语词典、牛津高阶英汉词典等各类中英文词典类似,基本涵盖了全部常用中英文字词句的读音、释义及用法,是语言学习和写作的有利工具。

 

Copyright © 2004-2024 vtrois.com All Rights Reserved
更新时间:2026/4/17 17:01:03