网站首页  词典首页


请输入您要查询的字词:

 

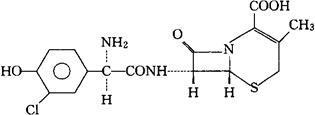
字词 头孢屈洛
类别 中英文字词句释义及详细解析
释义 头孢屈洛

C16H16ClN3O5S=397.83

CAS-57847-69-5

(6R,7R)-7-[(R)-2-氨基-2-(3-氯-4-羟苯基)乙酰胺基]-3-甲基-8-氧-5-硫杂-1-氮杂双环[4.2.0]辛-2-烯-2-羧酸。

(6R,7R)-7-[(R)-2-Amino-2-(3-chloro-4-hydoxyphenyl)acetamindo]-3-methyl-8-oxo-5-thia-1-azabicyclo[4.2.0]oct-2-ene-2-carboxyli acid.

抗生素类药。

头孢局罗,头孢著罗。

Cefedroor,Chlorocefadroxil,BMY25154.

INN,USAN.

随便看

 

离鸟网收录3541549条中英文词条,其功能与新华字典、现代汉语词典、牛津高阶英汉词典等各类中英文词典类似,基本涵盖了全部常用中英文字词句的读音、释义及用法,是语言学习和写作的有利工具。

 

Copyright © 2004-2024 vtrois.com All Rights Reserved
更新时间:2026/4/18 3:36:39