网站首页  词典首页


请输入您要查询的字词:

 

字词 头孢尼西单钠
类别 中英文字词句释义及详细解析
释义 头孢尼西单钠

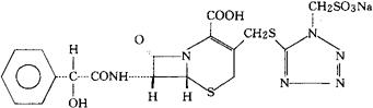
C18H17N6NaO8S3=564.54

CAS-71420-79-6

CAS-61270-58-4(cefonicidum)

5-硫杂-1-氮杂双环[4.2.0]辛-2-烯-2-羧酸,7-[(羟苯基乙酰)氨基]-8-氧-3-[[[1-(硫甲基)-1H-四唑-5-基]硫代]甲基]单钠盐,[6R-6α,7β(R)]。

5-Thia-1-azabicyclo[4.2.0]oct-2-ene-2-carboxylicacid,7-[(hydroxyphenylacetyl)amino]-8-oxo-3-[[[1-(sulfomethyl)-1H-tetrazol-5-yl]thio]methyl]-monosodium salt,[6R-6α,7β-(R)].

(6R,7R)-7-[(R)-扁桃酰胺基]-8-氧代-3-[[[1-(硫甲基)-1H-2-四唑-5-基]硫代]甲基]-5-硫杂-1-氮杂双环[4.2.0]辛-2-烯-2-羧酸-单钠盐。

(6R,7R)-7[(R)-Mandelamido]-8-oxo-3-[[[1-(sulfomethyl)-1H-2-tetrazol-5-yl]thio]methyl]-5-thia1-azabicyclo[4.2.0]oct-2-ene-2-carboxylic acid,Ssodium salt.

抗生素类药。

Cefonicid Monosodium,SK&F D-75073-Z.

INN,BAN,USAN.USP.

随便看

 

离鸟网收录3541549条中英文词条,其功能与新华字典、现代汉语词典、牛津高阶英汉词典等各类中英文词典类似,基本涵盖了全部常用中英文字词句的读音、释义及用法,是语言学习和写作的有利工具。

 

Copyright © 2004-2024 vtrois.com All Rights Reserved
更新时间:2026/4/17 23:46:49