网站首页  词典首页


请输入您要查询的字词:

 

字词 头孢地尼
类别 中英文字词句释义及详细解析
释义 头孢地尼

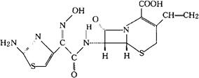
C14H13N5O5S3=395.41

CAS-91832-40-5

(-)-(6R,7R)-7-[2-(2-氨基-4-噻唑基)乙醛酰氨基]-8-氧代-3-乙烯基-5-硫杂-1-氮杂双环[4.2.0]辛-2-烯-2-羧酸,72-(Z)肟。

(-)-(6R,7R)-7-[2-(2-Amino-4-thiazolyl)glyoxyamido]-8-oxo-3-vinyl-5-thia-1-azabicuclo[4.2.0]oct-2-ene-2-carboxylic acid,72-(Z)-oxime.

抗生素类药。

Cefdinir.

INN,USAN.

随便看

 

离鸟网收录3541549条中英文词条,其功能与新华字典、现代汉语词典、牛津高阶英汉词典等各类中英文词典类似,基本涵盖了全部常用中英文字词句的读音、释义及用法,是语言学习和写作的有利工具。

 

Copyright © 2004-2024 vtrois.com All Rights Reserved
更新时间:2026/4/17 23:37:24