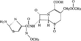
头孢噻氧
C16H17N5O8S2=471.46 CAS-71048-88-9 (5S,6R,7R)-7-[2-(2-氨基-4-噻唑基)乙醛酰氨基]-3-(羟甲基)-8-氧-5硫杂-1-氮杂双环[4.2.0]辛-2-烯-2-羧酸72-(Z)-(O-甲基肟),醋酸酯,5-氧化物。 (5S,6R,7R)-7-[2-(Amino-4-thiazolyl)glyoxylamido]-3-(hydroxymethyl)-8-oxo-5-thia-1-azabicyclo[4.2.0]oct-2-ene-2-carboxylic acid 72-(Z)-(Omethyloxime),acetate(ester),5-oxlde. 抗生素类药。 头孢奥塞。 Ceftioxide. INN,USAN.  |