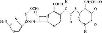
头孢噻林
C10H18N8O8S3=594.59 CAS-77360-52-2 (6R,7R)-7-[2-(2-氨基-4-噻唑基)乙醛酰胺基]-3-[(E)-2-[[4-(甲酰甲基)-1,4,5,6-四氢-5,6-二氧代-不均-三嗪-3-基]硫代]烯乙基]-8-氧代-5-硫杂-1-氮杂双环[4.2.0]辛-2-烯-2-羧酸72-(Z)-(O-甲基肟)。 (6R,7R)-7-[2-(2-Amino-4-thiazolyl)glyoxylamido]-3-[(E)-2-[[4-(formylmethyl)-1,4,5,6-tetrahydro-5,6-dioxo-as-thiazin-3-yl]thio]vinyl]-8-oxo-5-thia-1-azabicyclo[4.2.0]oct-2-ene-2-carboxylic acid 72-(Z)-(O-methyloxime). 抗生素类药。 头孢替兰。 Ceftiolene,RP42980. INN,USAN.  |