网站首页  词典首页


请输入您要查询的字词:

 

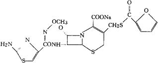
字词 头孢噻呋钠
类别 中英文字词句释义及详细解析
释义 头孢噻呋钠

C19H16N5NaO7S3=545.54

CAS-104010-37-9

[6R-[6α,7β(Z)]]7-[[(2-氨基-4-噻唑基)(甲氧亚氨基)乙酰]氨基]-3-[[(2-呋喃羰基)硫代]甲基]-8-氧代-5-硫杂-1-氮杂双环[4.2.0]辛-2-烯-2-羧酸单钠盐。

[6R-[6α,7β(Z)]]-7-[[(2-Amimo-4-thiazolyl)(methoxyimino)acetyl]amino]-3-[[(2-furanylcarbony)thio]methyl]-8-oxo-5-thia-1-azabicyclo[4.2.0]oct-2-ene-2-carboxylci acid,monosodium salt.

(6R,7R)-7-[2-(2-氨基-4-噻唑基)乙醛酰胺基]-3-(巯甲基)-8-氧代-5-硫杂-1-氮杂双环[4.2.o]辛-2-烯羧酸钠,72-(Z)-(O-甲基肟),2-呋喃甲酸酯。

Sodium(6R,7R)-7-[2-(2-amino-4-thiazolyl)gyloxylamido]-3-(mercaptomethyl)-8-oxo-5-thia-1-azabicyclo)[4.2.0]oct-2-ene-2-carboxylate,72-(Z)-(Omethyloxime),2-furoate(ester).

抗生素类药,抗菌药。

头孢替呋钠。

Ceftiofur Sodum,Naxcel,CM31-916,U-64079E.

USAN.

随便看

 

离鸟网收录3541549条中英文词条,其功能与新华字典、现代汉语词典、牛津高阶英汉词典等各类中英文词典类似,基本涵盖了全部常用中英文字词句的读音、释义及用法,是语言学习和写作的有利工具。

 

Copyright © 2004-2024 vtrois.com All Rights Reserved
更新时间:2026/4/17 22:19:31