头孢噁唑
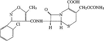
C21H18ClN3O7S=491.90 CAS-36920-48-6 7-[3-(2-氯苯基)-5-甲基-4-异噁唑甲酰胺基]头孢烷酸。 7-[3-(2-Chlorophenyl)-5-methyl-4-isoxazolecarboxamido]cepalosporanic acid. (6R,7R)-7-[3-(邻-氯苯基)-5-甲基-4-异噁唑甲酰胺基]-3-(羟甲基)-8-氧代-5-硫杂-1-氮杂双环[4.2.0]辛-2-烯-2-羧酸乙酸酯。 (6R,7R)-7-[3-(o-Chlorophenyl)-5-methyl-4-isoxazolecarboxamido]-3-(hydroxymethyl)-8-oxo-5-thia1-azabicyclo[4.2.0]-oct-2-ene-2-carboxylic acid acetate(ester). 抗生素类药。 Cefoxazole. INN,BAN(Ceproxazole),USAN.  |