头孢唑肟钠[中]
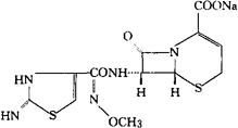
C13H12N5NaO5S2=405.38 CAS-68401-82-1 (6R,7R)-7-[2-(2-亚氨基-4-噻唑啉-4-基)乙醛酰氨基]-8-氧代-5-硫杂-1-氮杂双环[4.2.0]辛-2-烯-2-羧酸钠,72-(Z)-(O-甲基肟)。 Sodium(6R,7R)-7-[2-(2-imino-4-thiazolin-4-yl)glyoxylamido]-8-oxo-5-thia-1-azabicyclo[4.2.0]oct-2-ene-2-carboxylate-72-(Z)-(O-methyloxime). 抗生素类药。 Ceftizoxime Sodium,Cefizox. USAN,MI.  |