网站首页  词典首页


请输入您要查询的字词:

 

字词 头孢唑南钠
类别 中英文字词句释义及详细解析
释义 头孢唑南钠

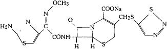
C16H14N7NaO5S4=535.56

(-)-(6R,7R)-7-[2(2-氨基-4-噻唑基)乙醛酰氨基]-8-氧代-3-[(1,2,3-噻二唑-5-基硫代)]甲基]-5-硫杂-1-氮杂双环[4.2.0]辛-2-烯-2-羧酸,72-(Z)-(O-甲基肟)钠盐。

(-)-(6R,7R)-7-[2-(2-Amino-4-thiazolyl)glyoxylamido]-8-oxo-3-[(1,2,3-thiadiazol-5-ylthio)methyl]-5-thia-1-azabicyclo[4.2.0]oct-2-ene-carboxylic acid,72-(Z)-(O-methyloxime)sodium salt.(-)(6R,7R)-7-[(Z)-2-(2-氨基-4-噻唑基)-2-甲氧亚胺基乙酰氨基]-3-[(1,2,3-噻唑基)-5-硫代甲基]-8-氧代-5-硫杂-1-氮杂双环[4.2.0]辛-2-烯-2-羧酸钠。

(-)(6R,7R)-7-[(Z)-2-(2-Amino-4-thiazolyl)-2-methyoxyiminoacetylamino]-3-[(1,2,3-thiazolyl)-5-thiomethyl]8-oxo-5-thia-1-azabicyclo[4.2.0]oct2-ene-2-carboxylic acid sodium salt.

抗生素药。

用于葡萄球菌属、大肠杆菌、克雷伯氏菌属、肠杆菌属、沙雷氏菌属、变形杆菌属、流感杆菌、拟杆菌属对本品敏感的菌的菌株所致败血症,肛周脓肿、骨髓炎、关节炎、外伤手术创口的继发感染、咽喉炎、急慢性支气管炎、扁桃体炎、支气管扩张(感染时)、慢性呼吸器官继发感染、肾盂肾炎、膀胱炎、胆囊炎、胆管炎、肝脓肿、腹膜炎、骨盆死腔炎、子宫旁结缔组织炎、脑膜炎。

Cefuzonam Sodium,CZON,Cosmosin.

随便看

 

离鸟网收录3541549条中英文词条,其功能与新华字典、现代汉语词典、牛津高阶英汉词典等各类中英文词典类似,基本涵盖了全部常用中英文字词句的读音、释义及用法,是语言学习和写作的有利工具。

 

Copyright © 2004-2024 vtrois.com All Rights Reserved
更新时间:2026/4/18 13:51:44