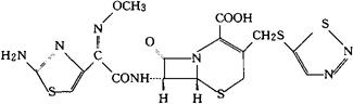
头孢唑南
C16H15N7O5S4=513.58 CAS-82219-78-1 (-)-(6R,7R)-7-[2-[(2-氨基-4-噻唑基)乙醛酰氨基]-8-氧代-3-(1,2,3-噻二唑-5-基硫代)甲基]-5-硫杂-1-氮杂双环[4.2.0]辛-2-烯-2-羧酸,72-(Z)(O-甲基肟)。 (-)-(6R,7R)-7-[2-[(2-Amino-4-thiazolyl)glyoxylami-do]-8-oxo-3-[1,2,3-thiadiazol-5-ylthio)methyl]-5-thia-1-azabicyclo[4.2.0]oct-2-ene-2-carboxylic acid,72-(Z)-(O-methyloxime). 抗生素类药。 Cefuzonam,L 105,Cl-251931. INN,USAN.  |