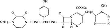
头孢哌酮钠[中]
C25H26N9NaO8S2=667.65 CAS-62893-20-3 (6R,7R)-7-[(R)-2-(4-乙基-2-,3-二氧代-1-哌嗪甲酰胺基)-2-(对羟苯基)乙酰胺基]-3-[[(1-甲基-1H四唑-5-基)硫代)]甲基]-8-氧代-5-硫杂-1-氮杂双环[4.2.0]辛-2-烯羧酸钠。 Sodium(6R,7R)-7-[(R)-2-(4-ethhyl-2,3-dioxo-1-piperazine carboxamido)-2(p-hydroxyphenyl)acetamido]-3-[[(1-methyl-1H-tetrazol-5-yl)thio]methyl]-8-oxo-5-thia-1-azabicyclo[4,2,0]oct-2-ene2-carboxylate. 抗生素类药,抗菌药。用于敏感菌引起的败血症、胆囊炎、胆管炎、腹膜炎、腹腔内感染、呼吸道、尿路、皮肤软组织及产科感染等。 Cefoperazone Sodium,Cefobid,Cefolis,T-1551. 注射用头孢哌酮钠。 INN(Cefoperazone),BAN,USAN,USP,MI. 
|