网站首页  词典首页


请输入您要查询的字词:

 

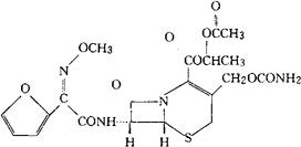
字词 头孢呋肟醋乙酯
类别 中英文字词句释义及详细解析
释义 头孢呋肟醋乙酯

C20H22N4O10S=510.48

CAS-64544-07-6

CAS-55268-75-2(cefuroxime)

[6R-[6α,7β(Z)]]-3-[[(氨基羰基)氧]甲基]-7-[[2-呋喃基(甲氧亚氨基)乙酰]氨基]-8-氧代-5-硫杂-1-氮杂双环[4.2.0]辛-2-烯-2-羧酸,1-(乙酰氧)乙酯。

3-[[(Aminocarbonyl)oxy]methyl]-7-[[2-furanyl(methoxyimino)acetyl]amino]-8-oxo-5-thia-1-azabicyclo[4.2.0]oct-2-ene-2-carboxylic acid,1-(acetyloxy)ethyl ester,[6R-[6α,7β(Z)]]-.

(RS)-1-羟乙基(6R,7R)-7-[2-(2-呋喃基)乙醛酰氨基]-3-(羟甲基)-8-氧代-5-硫杂-1-氮杂双环[4.2.0]辛-2-烯-2-羧酸酯,72-(Z)-(O-甲基肟),1-醋酸酯-3-氨基甲酸酯。

(RS)-1-Hydroxyethyl(6R,7R)-7-[2-(2-furyl)glyoxylamido]-3-(hydroxymethyl)-8-oxo-5-thia-1-azabicyclo[4.2.0]oct-2-ene-2-carboxylate,72-(Z)-(Omethyloxime),1-acetate 3-carbamate.

抗生素类药。

头孢呋新酯,头孢呋新乙酰氧乙酯。

Cefuroxime Axetil,CCI 15641,Ceftin.

BAN,USAN.

随便看

 

离鸟网收录3541549条中英文词条,其功能与新华字典、现代汉语词典、牛津高阶英汉词典等各类中英文词典类似,基本涵盖了全部常用中英文字词句的读音、释义及用法,是语言学习和写作的有利工具。

 

Copyright © 2004-2024 vtrois.com All Rights Reserved
更新时间:2026/4/19 4:33:01