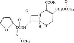
头孢呋汀
C17H17N3O8S=423.40 CAS-39685-31-9 (6R,7R)-7-[2-(2-呋喃基)乙醛酰氨基]-3-(羟甲基)-8-氧代-5-硫杂-1-氮杂双环[4.2.0]辛-2-烯-2-羧酸72-(Z)(O-甲基肟)醋酸酯。 (6R,7R)-7-[2-(2-Furyl)glyoxylamido]-3-(hydroxymethyl)-8-oxo-5-thia-1-azabicyclo[4.2.0]oct-2-ene-2-carboxylic acid 72-(Z)-(O-methyloxime),acetite(ester). 抗生素类药,抗菌药。 呋肟头孢菌素C。 Cefuracetime. INN,BAN,USAN.  |