网站首页  词典首页


请输入您要查询的字词:

 

字词 头孢吡肟
类别 中英文字词句释义及详细解析
释义 头孢吡肟

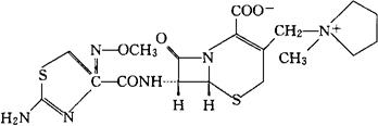
C19H24N6O5S2=480.56

CAS-88040-23-7

[6R-[6α,7β(Z)]]-1-[[7-[[(2-氨基-4-噻唑基)(甲氧亚氨基)乙酰]氨基]-2-羧-8-氧-5-硫杂-1-氮杂双环[4.2.0]-辛-2-烯-3-基]-1-甲基]甲基-吡咯烷鎓,氢氧化物,内盐。

1-[[7-[[(2-Amino-4-thiazolyl)(methoxyimino)acetyl]-amino]-2-carboxy-8-oxo-5-thia-1-azabicyclo[4.2.0]-oct-2-en-3-yl]methy]-1-methyl pyrrolidinium,hydroxide,inner salt,[6R-[6α,7β(Z)]].

1-[[(6R,7R)-7-[2-(2-氨基-4-噻唑基)乙醛酰氨基]-2-羧-8-氧代-5-硫杂-1-氮杂双环[4.2.0]辛-2-烯-3-基]甲基]-1-甲基吡略烷鎓氢氧化物内盐,72-(Z)-(O-甲基肟)。

1-[[(6R,7R)-7-[2-(2-Amino-4-thiazolyl)glyoxylamido]-2-carboxy-8-oxo-5-thia-1-azabicyclo[4.2.0]oct-2-en-3-yl]methyl]-1-methylpyrrolidinium hydroxide,inner,salt,72-(Z)-O-methyloxime).

抗生素类药,抗菌药。

头孢匹姆。

Cefepime,BMY-28142,MY-28142.

INN,USAN.

随便看

 

离鸟网收录3541549条中英文词条,其功能与新华字典、现代汉语词典、牛津高阶英汉词典等各类中英文词典类似,基本涵盖了全部常用中英文字词句的读音、释义及用法,是语言学习和写作的有利工具。

 

Copyright © 2004-2024 vtrois.com All Rights Reserved
更新时间:2026/4/18 7:37:27