网站首页  词典首页


请输入您要查询的字词:

 

字词 头孢卡达
类别 中英文字词句释义及详细解析
释义 头孢卡达

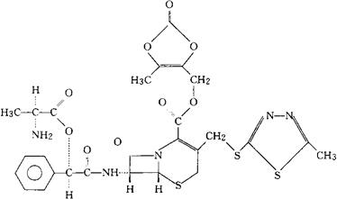
C27H27N5O9S3=661.72

CAS-97275-40-6

2,3-二羟-2-丁烯基(6R,7R)-7-[(R)扁桃酰胺]-3-[[(5-甲基-1,3,4-噻二唑-2-基)硫代]甲基]-8-氧-5-硫杂-1-氮杂双环[4.2.0]辛-2-烯-2-羧酸酯,环2,3-碳酸酯与L-丙氨酸成酯。

2,3-Dihydroxy-2-butenyl(6R,7R)-7-[(R)mandelamido]-3-[[(5-methy-1,3,4-thiadiazol-2-yl)thio]methyl]-8-oxo-5-thia-l-azabicyclo[4.2.0]oct-2-ene2-carboxylate,cyclic 2,3-carbonate,ester with Lalanine.

抗生素类药。

头孢卡奈达诺酯,头孢康纳达洛酯。

Cefcanel Daloxate,KY-109.

INN,USAN.

随便看

 

离鸟网收录3541549条中英文词条,其功能与新华字典、现代汉语词典、牛津高阶英汉词典等各类中英文词典类似,基本涵盖了全部常用中英文字词句的读音、释义及用法,是语言学习和写作的有利工具。

 

Copyright © 2004-2024 vtrois.com All Rights Reserved
更新时间:2026/4/18 5:41:26