网站首页  词典首页


请输入您要查询的字词:

 

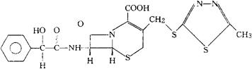
字词 头孢卡奈
类别 中英文字词句释义及详细解析
释义 头孢卡奈

C19H18N4O5S3=478.56

CAS-41925-52-7

6R,7R)-[(R)-扁桃酰胺]-3-[[(5-甲基-1,3,4-噻二唑-2-基)硫代]甲基]-8-氧代-5-硫杂-1-氯杂双环[4.2.0]辛-2-烯-2-羧酸。

(6R,7R)-7-[(R)Mandelamido]-3-[[(5-methyl-l,3,4-thiadiazol-2-yl)thio]methyl]-8-oxo-5-thia-l-azabicyclo[4.2.0]oct-2-ene-2-carboxylic acid.

抗生素类药。

头孢康纳。

Cefcarnel,KY087.

INN,USAN.

随便看

 

离鸟网收录3541549条中英文词条,其功能与新华字典、现代汉语词典、牛津高阶英汉词典等各类中英文词典类似,基本涵盖了全部常用中英文字词句的读音、释义及用法,是语言学习和写作的有利工具。

 

Copyright © 2004-2024 vtrois.com All Rights Reserved
更新时间:2026/4/18 4:41:31