网站首页  词典首页


请输入您要查询的字词:

 

字词 头孢匹胺钠
类别 中英文字词句释义及详细解析
释义 头孢匹胺钠

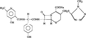
C25H23N8NaO7S2=634.62

CAS-74849-93-7

[6R-[6α,7β(R*]]-7-[[[[(羟基-6-甲基-3-吡啶基)羰基]氨基](4-羟苯基)乙酰]氨基]-3-[[(1-1H-四唑基)硫代]]甲基]-8-氧代-5-硫杂1-氮杂双环[4.2.0]辛-2-烯-2-羧酸单钠盐。

5-Thia-1-azabicyclo[4.2.0]oct-2-en-2-carboxylicacid,7-[[[[(4-hydroxy-6-methyl-3-pyridinyl)carbony]amino](4-hydroxyphenyl)acetyl]amino]-3-[[(1-methyl-1H-tetrazol-5-yl)thio]methyl]-8-oxo-,monosodium salt,[6R-[6α,7β(R*)]]-.

(6R,7R)-7-[(R)-2-(4-羟基-6-甲基烟酰胺基)-2-(对-羟苯基)乙酰胺]-3-[[(1-甲基-1H-四唑-5-基)硫代]-甲基]-8-氧代-5-硫杂-1-氮杂双环[4.2.0]辛-2-烯-2-羧酸钠。

Sodium(6R,7R)-7-[(R)-2-(4-Hydroxy-6-methylnicotinamido)-2-(p-hydroxyphenyl)acetamido]-3-[[(1-methyl-1H-tetrazol-5-yl)thio]methyl]-8-oxo5-thia-1-azabicyclo[4.2.0]oct-2-ene-2-carboxylate.

抗生素类药。

头孢烟胺钠。

Cefpiramide Sodium,WY-44,635 Sodium.

USAN,USP.

随便看

 

离鸟网收录3541549条中英文词条,其功能与新华字典、现代汉语词典、牛津高阶英汉词典等各类中英文词典类似,基本涵盖了全部常用中英文字词句的读音、释义及用法,是语言学习和写作的有利工具。

 

Copyright © 2004-2024 vtrois.com All Rights Reserved
更新时间:2026/4/18 3:38:02