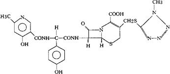
头孢匹胺
C25H24N8O7S2=612.63 CAS-70797-11-4 (6R,7R)-7-[(R)-2-(4-羟基-6-甲基烟酰胺AD)-2-(对羟苯基)乙酰胺基]-3-[[1-甲基-1H-四唑-5-基]硫代]甲基]-8-氧代-5-硫杂-1-氮双环[4.2.0]辛-2-烯-2-羧酸。 (6R,7R)-7-[(R)-2-(4-Hydroxy-6-methylnicotinamido)-2-(p-hydroxyphenyl)acetamido]-3-[[(1-methyl-1H-tetrazol-5-yl)thio]methyl]8-oxo-5-thia1-azabicyclo[4.2.0]oct-2-ene-2-carboxylic acid. 抗生素类药。 头孢烟胺。 Cefpiramide,Separen. INN,USAN.  |