网站首页  词典首页


请输入您要查询的字词:

 

字词 头孢克肟
类别 中英文字词句释义及详细解析
释义 头孢克肟

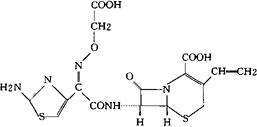
C16H15N5O7S2·3H2O=507.49

CAS-79350-37-1

[6R,[6α,7β(Z)]]-7-[[(2-氨基-4-噻唑基)[(羧基甲氧)亚氨基]乙酰]氨基]-3-乙烯基-8-氧代-5-硫杂-1-氮杂双环[4.2.0]辛-2-烯-2-羧酸]三水化合物。

7-[[(2-Amino-4-thiazolyl)[(carboxymethoxy)imino]acetyl]amino]-3-ethenyl-8-oxo-5-thia-1-azabicyclo[4.2.0]oct-2-ene-2-carboxylic acid,trihydrate,[6R-[6α,7β(Z)]]-.

(6R,7R)-7-[2-(2-氨基-4-噻唑基)乙醛酰胺基]-8-氧代-3-乙烯基-5-硫杂-1-氮杂双环[4.2.0]-辛-2-烯-2-羧酸,72-(Z)-[o-羧甲基肟]三水化合物。

(6R,7R)-7-[2-(2-Amino-4-thiazolyl)glyoxylamido]-8-oxo-3-vinyl-5-thia-1-azabicyclo[4.2.0]oct-2-ene2-carboxylic acid,72-(Z)-[(ocanboxymethyl)oxime]trihydrate.

抗生素类药。

用于链球菌属,肺炎球菌、链球菌、淋球菌、粘膜炎、布兰汉氏球菌、大肠杆菌、克雷克氏菌属,沙雷氏菌属变形杆菌属,流感杆菌中对本品较敏感的菌株引起的下列感染:支气管炎、支气管扩张感染时慢性呼吸器官的继发性感染、肺炎、肾盂炎、膀胱炎、淋球菌性尿道炎、胆囊炎、胆管炎、猩红热、中耳炎、副鼻窦炎。

头孢非肟。

Cefixime,Cfix,Cl-284,635,CFR17027.FK O27INN,BAN,USAN,USP.

随便看

 

离鸟网收录3541549条中英文词条,其功能与新华字典、现代汉语词典、牛津高阶英汉词典等各类中英文词典类似,基本涵盖了全部常用中英文字词句的读音、释义及用法,是语言学习和写作的有利工具。

 

Copyright © 2004-2024 vtrois.com All Rights Reserved
更新时间:2026/4/18 4:05:16