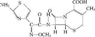
头孢他美
C14H15N5O5S2=397.42 CAS-65052-63-3 [6R-[6a,7β(Z)]]-7-[[(2-氨基4-噻唑基)(甲氧亚氨基)乙酰]氨基]-3-甲基-8-氧-5-硫杂-1-氮杂双环-[4.2.0]辛-2-烯-2-羧酸。 7-[[(2-Amino-4-thiazolyl)(methoxyimino)acetyl]amino]-3-methyl-8-oxo-5-thia-1-azabicyclo-[4.2.0]oct-2-ene-2-carboxylic acid[6R-[6α,7β(Z)]]-. (6R,7R)-7-[2-(2-氨基-4-噻唑基)乙醛酰氨基]-3-甲基-8-氧代-5硫杂-1-氮杂双环[4.2.0]辛-2-烯-2-羧酸,72-(Z)-(O-甲基肟)。 (6R,7R)-7-[2-(2-Amino-4-thiazolyl)glyoxylamido]-3-methyl-8-oxo-5-thia-1-azabicyclo[4.2.0]oct2-ene-2-carboxylic acid,72-(Z)-(O-methyloxime). 抗生素类药,抗菌药(兽用)。 头孢米特。 Cefetamet,LY097964,Ro-15-8074. INN,USAN.  |