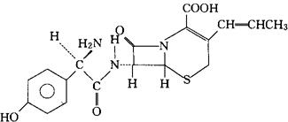
头孢丙烯
C18H19N3O5S=389.43 CAS-92665-29-7 CAS-121123-17-9(monohydrate) [6R-[6α,7β(R*)]]-7-[[氨基(4-羟苯基)乙酰]氨基]-8-氧代3-(1-丙烯基)-5-硫杂-1-氮杂双环[4.2.0]辛-2-烯-2-羧酸。 [6R-[6α,7β(R*)]]-7-[[Amino(4-hdyroxyphenyl]acetyl]amino]-8-oxo-3-(1-propenyl)-5-thia-1-azabicyclo[4.2.0]oct-2-ene-2-carboxylic acid. (6R,7R)-7-[对-羟苯基乙酰胺基]-8-氧代-3-丙烯基-5-硫杂-1-氮杂双环[4.2.0]辛-2-烯-2-羧酸。 (6R,7R)-7-[p-Hydroxyphenyl)acetamido]-8-oxo-3-propenyl-5-thia-1-azabicyclo[4.2.0]oct-2-ene-2-carboxyylic acid. 抗生素类药。 头孢普罗。 Cefprozil,BMY-28100-03-800. INN,USAN.  |