网站首页  词典首页


请输入您要查询的字词:

 

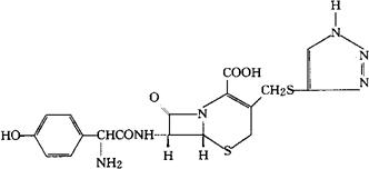
字词 头孢三唑
类别 中英文字词句释义及详细解析
释义 头孢三唑

C18H18N6O5S2=462.52

CAS-51627-14-6

(6R,7R)[(R)-2-氨基-2-(对-羟苯基)乙酰胺基]-8-氧代-3-[(1H-1,2,3-三氮唑-4-基硫)甲基]-5-硫杂-1-氮杂双环[4.2.0]辛-2-烯-2-羧酸。

(6R,7R)-7-[(R)-2-Amino-2-(p-hydroxyphenyl)acetamido]-8-oxo-3[(lH-1,2,3-triazol-4-ylthio)methyl]-5-thia-l-azabicyclo[4.2.0]oct-2-ene-2-carboxylic acid.

抗生素类药。

头孢曲秦,头孢羟氨唑。

Cefatrizine,Bricef,Cepticol,BL3640,SKF60771.

INN,BAN,DCIT,JAN,SUAN,MI.

随便看

 

离鸟网收录3541549条中英文词条,其功能与新华字典、现代汉语词典、牛津高阶英汉词典等各类中英文词典类似,基本涵盖了全部常用中英文字词句的读音、释义及用法,是语言学习和写作的有利工具。

 

Copyright © 2004-2024 vtrois.com All Rights Reserved
更新时间:2026/4/18 11:32:57