网站首页  词典首页


请输入您要查询的字词:

 

字词 头孢丁哌酮
类别 中英文字词句释义及详细解析
释义 头孢丁哌酮

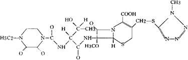
C22H29N9O9S2=627.65

CAS-76610-84-9

(6R,7S)-7-[(2R,3S)-2-(4-乙基-2,3-二氧代-1-哌嗪甲酰胺基-3-羟丁酰胺]-7-甲氧-3-[[(1-甲基-1H四氮唑-5-基)硫代]甲基]-8-氧代-5-硫杂-1-氮杂双环[4.2.0]辛-2-烯-2-羧酸。

(6R,7S)-7-[(2R,3S)-2-(4-Ethyl-2,3-dioxo-1-piperazinecarboxamido)-3-hydroxybutyramido]-7-methoxy-3-[[(l-methyl-1H-tetrazol-5-yl)thio]methyl]-8-oxo-5-thia-l-azabicyclo[4.2.0]oct-2-ene2-carboxylic acid.

抗生素类药。

头孢拉宗。

Cefbuperazone,Tomiporan.

INN,USAN,MI.

随便看

 

离鸟网收录3541549条中英文词条,其功能与新华字典、现代汉语词典、牛津高阶英汉词典等各类中英文词典类似,基本涵盖了全部常用中英文字词句的读音、释义及用法,是语言学习和写作的有利工具。

 

Copyright © 2004-2024 vtrois.com All Rights Reserved
更新时间:2026/4/18 21:08:29