网站首页  词典首页


请输入您要查询的字词:

 

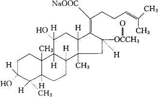
字词 夫西地酸钠
类别 中英文字词句释义及详细解析
释义 夫西地酸钠

C31H47NaO6=506.70

CAS-751-94-0

CAS-6990-06-3(fusidicacid)

(3α,4α,8α,9β,11α,13α,14β,16β,17Z)-16-(乙酰氧)-3,11-二羟-29-去甲玛树脂-17(20),24-二烯-21-酸,单钠盐。

(3α,4α,8α,9β,11α,13α,14β,16β,17Z)-16-(Acetyloxy)-3,11-dihydroxy-29-nordammara-17(20),24-dien-21-oic acid,monosodium salt.

3α,11α,16β-三羟-29-去甲-8α,9β,13α,14β-玛脂-17(20),24-二烯-21-酸16-乙酸钠。

Sodium 3α,11α,16β-trihydroxy-29-nor-8α,9β,13α,14β-dammara-17(20),24-dien-21-oate 16-acetate.

夫西地酸,钠盐。

Fusidic acid,sodium salt.

抗菌药。

褐霉酸钠,甾酸霉素钠。

Fusidate Sodium,SQ 16360.

USAN.

随便看

 

离鸟网收录3541549条中英文词条,其功能与新华字典、现代汉语词典、牛津高阶英汉词典等各类中英文词典类似,基本涵盖了全部常用中英文字词句的读音、释义及用法,是语言学习和写作的有利工具。

 

Copyright © 2004-2024 vtrois.com All Rights Reserved
更新时间:2026/4/18 2:21:52