太尔各特法
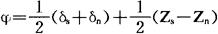
观测高度角以计算观测者之纬度,其误差主要来源为垂直度盘之刻度误差,仪器之垂直轴不能绝对垂直,以及蒙气差等。 赫瑞鲍太尔各特法即系针对以上之缺点,设法消除上述各种误差,或减低其影响。其法系每次观测两恒星之子午天顶距差。 此两星须一在天顶之北,另一在天顶之南,其天顶距须相差甚微,而中天时间亦在20分钟以内。 设Z为天顶,E为赤道与子午圈的交点。 Ss,Sn为南北两恒星之中天位置。Zs,Zn为天顶距,δs、δn、其赤纬,φ为观测地之纬度。 设E、Ss、Z、Sn、P(天极)都在同一子午圈的半圆弧上,设半圆弧的圆心为O,连接OE、OSs、OZ、OSn、OP,则Zs、Zn、δs、δn、φ的角度都显示在该半圆平面上,由δs可得: φ=δs+Zs 由δn可得: φ=δn-Zn 两式相加用2除,得:  应用此法观测时,并不直接量测天顶距而用目镜测微器量测南北两星天顶距之差。故可避免垂直度盘刻度误差之影响。 两星之天顶距差甚小,其蒙气差相差亦甚少,计算时亦只须改正两方向蒙气差之差。为测定垂直轴不绝对垂直之误差,用一精密水准管与望远镜固连。 |