网站首页  词典首页


请输入您要查询的字词:

 

字词 大系统的稳定性
类别 中英文字词句释义及详细解析
释义 大系统的稳定性

这种理论是从20世纪60年代开始发展起来的。

早在1959年,秦元勲首先提出了稳定性理论中方程组的分解问题。随著科学技术的迅速发展,系统规模的扩大、计算机的广泛应用,控制系统也出现了多层次的复杂化与大型化,促使人们不得不研究大系统理论。

考虑系统

i=1,…,l.这里Zi∈Rni,t∈J=[t0,+∞),fi:Rni×j→Rni,gi:Rn1×…×Rnl×J→Rni.在下面总假设,对于所有的t∈J,fi(Zi,t)=0的充要条件是Zi=0,令,xT=(Z1T,…,)∈Rn

故有

g(x,t)T=[g1(x,t)T,…,gl(x,t)T

我们将系统(1)写成

(2)

显然,f:Rn×J→Rn,g:Rn×J→Rn以及h:Rn×J→Rn

我们总假设,对于所有t∈J,h(x,t)=0的充要条件是x=0。

由方程(2)所描述的系统可以认为是由下面l个系统

i) Zi=fi(Zi,t)(i=1,…,l) (3)

的一个非线性和时变的关联。

系统(2)称为复合系统(ψ),或称为关联系统(ψ),或称为具有分解(∑i)(由方程(1)描述)的大系统(ψ)、方程(3)被称为第i个孤立子系统(ψi)。

通常处理大系统问题可分为如下3个步骤:
❶ 将大系统(ψ)(方程(2)),分解成1个孤立子系统(ψi)(方程(3)),具有分解(∑i)(方程(1)。

❷ 对于每个孤立子系统(ψi)应用Λяnyнoв第二方法(重要的是具体地构造出Λяnyнoв函数)。

❸ 整个系统的定性分析,由子系统及关联结构的定性性质决定。

研究大系统零解的稳定性,通常采用以下两种方法:
❶ 向量Aяnyнoв函数方法:以子系统的Λяnyнoв函数Vi作为V的分量,用比较原理,由已知系统(或低阶系统)的稳定性来得出大系统的稳定性。
❷ 标量Aanyнoв函数方法:取子系统的Λяnyнoв函数的加权和作为大系统的Λяnyнов函数,即取,再利用Λяnyнов定理,以得出大系统的稳定性。

值得注意的是由章毅和张毅所提出的处理大系统稳定性的参数变易法,近年来已得到广泛的应用。

大型动力系统可视为互相作用分量(子系统)的一个不均匀结构,分量(子系统)之间的互相作用在强度和形状上悬殊很大。一组子系统能暂时地与其余子系统分离,导致了大型动力系统结构上的变化,因此我们需要考虑系统在结构变化(结构扰动)下的稳定性,即关联稳定性。

借助于有向图和互联矩阵等概念。

利用上面所提到的研究大系统的向量Λяnyнoв函数方法与标量Λяnyнoв函数方法,可以研究大型动力系统的结构稳定性。

为了说明标量Λяnyнов函数方法的实质。

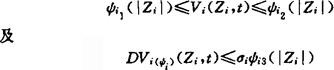
我们证明下面定理。首先作下面约定,我们称孤立子系统(ψi)具有性质A,如果存在一个连续可微函数Vi:Rni×J→R,及函数ψi1,ψi2∈kR,ψi∈K及常数6i∈R,使得不等式

对于所有的Zi∈Rni及所有t∈J成立。

定理,具有分解(∑i)的复合系统(ψ)的零解是大范围(全局)一致渐近稳定的,如果下面的条件满足:
❶ 每个孤立了系统(ψi)具有性质A;
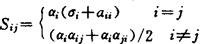
❷ 给定Vi及假设❶ 中的ψi3,存在常数aij∈R,使得不等式j对所有Zi∈Rni(i=1,…,l)及t∈T成立;
❸ 给定了假设❶ 中的бi,存在一个1-向量αT=(α1,…,αl)>0,使得矩阵S=(Sij)为负定,其中

证:对复合系统(ψ),我们选取如下的Λяnyнoв函数:

这里函数Vi(Zi,t)由假设❶ 中给出,αi>0(i=1,…,l)是由假设❸ 中给出的常数,显然V(x,t)连续可微,且对于所有的t∈J,有V(0,t)=0。由于每个弧立子系统(ψi)具有性质A,得出

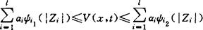
由假设ψi1,ψi2∈KR得出:V(x,t)是正定的,具有无限小上界,且有无限大性质,事实上,存在ψ1,ψ2∈KR,使得

ψ1(|x|)≤V(x,t)≤ψ2(|x|)

对所有x∈Rn及t∈J成立,因

由假设❶ 及❷ 得出

R=(rij)是l×l矩阵,其中

已知

这里S=[Sij]是假设❸ 中所给出的矩阵,因为S是对称的,故其所有特征值为实的,由假设❸ S是负定的,故其特征值均为负,所以λM(S)<0,又有

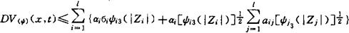
因此DV(ψ)(x,t)是负定的(对所有x∈Rn及t∈J)故对所有x∈Rn及t∈J,有

DV(ψ)(x,t)≤λM(S)ψ3(|x|)

其中λM(S)<0,因此复合系统(ψ)的零解是大范围一致渐近稳定的。

以上处理常微分方程大系统稳定性的方法,已用于研究离散大系统的稳定性,离散动力系统在结构扰动下的稳定性,Volterra积分微分方程大系统的稳定性,具有无穷时滞中立型积分微分方程大系统的指数稳定性等等,并在控制理论中得到广泛的应用。

【参考文献】:

1 王慕秋.科学记录,1960,4(1)

2 Michel A N, Miller R K. Qualitative Analysis of Large Scale Dynamical Systems. New York: Academic Press, 1977

3 Siljak D D. Large-Scale Dynamical Systems:Stability and structure. Elsevier North-Holland, Inc New York,1978

4 王联,王慕秋.非线性常微分方程定性分析,哈尔滨工业大学出版社,1987

5 章毅,王慕秋.科学通报,1990,35(2)

6 Wang Muqiu,Wang Liian,Du Xuetang.Acta Math Appl,1992;8(1)

(中国科学院数学研究所王慕秋研究员撰)

上一篇:概周期线性系统
下一篇:现代科技综述大辞典上目录
"大系统理论大系统理论

一门跨越控制理论、系统工程、运筹学等多种领域的新学科。

自70年代兴起以来,其理论和应用都发展很快,受到国际学术界的普遍关注。

大系统理论的研究对象就是大系统。

所谓大系统,涉及到工程技术、社会经济、生物生态三大领域,包括工程与非工程大系统。其共同的特点是规模庞大,结构复杂,目标多样,功能综合,因素众多,随机性强。

大系统理论就是研究、设计、控制、管理这样的系统的理论和方法。通常采用的方法,是把整个系统根据可能分析的条件分解为若干阶层的子系统,建立子系统与整个系统以及各子系统之间的关系,再根据这些关系对整个系统进行分析和综合,研究整个系统的运动规律。

大系统理论所要研究的问题,主要是大系统的最优化。譬如大系统结构的研究、大系统的分解,协调和大系统的多级递阶控制理论和方法研究,大系统的规划方法和统筹方法的研究,等等。

总之,就是按照整个系统的最优化指标和整个系统与各个子系统之间的关系以及各子系统之间的关系,最优地分配各子系统的指标,并以此控制各子系统,使整个系统达到最优化。另外,大系统理论还研究大系统数学模型的建立和简化的方法,大系统的仿真方法,大系统的分析方法,大系统的稳定性,可靠性,能控性,能观性和灵敏度的分析与研究,大系统的信息传递和处理以及系统状态的估计,特殊大系统的研究等。

随便看

 

离鸟网收录3541549条中英文词条,其功能与新华字典、现代汉语词典、牛津高阶英汉词典等各类中英文词典类似,基本涵盖了全部常用中英文字词句的读音、释义及用法,是语言学习和写作的有利工具。

 

Copyright © 2004-2024 vtrois.com All Rights Reserved
更新时间:2026/4/17 17:52:37