网站首页  词典首页


请输入您要查询的字词:

 

字词 大、小放汽热回收计算
类别 中英文字词句释义及详细解析
释义 大、小放汽热回收计算

【例】已知条件(按蒸煮物料衡算为依据):

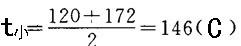
小放汽:起止温度(C):120~172

延续时间(h):1.0

放出的蒸汽量D(kg/t风干浆):169

大放汽:起止温度(℃):172~158

延续时间(小时):0.5

放出的蒸汽量D(kg/t风干浆):205

冷凝液在冷凝器内冷却到60C(t)

冷却水温度由10C(t1)加热到70C(t2)

按两个锅同时进行小放汽和大放汽来计算。

1.大、小放汽在冷凝时的总放热量Q

工小放汽放出蒸汽量D3

D6=169G1=169×10.88=1838(kg/h)

❷ 小放汽平均温度t

❸ 大放汽放出蒸汽量D7

❹ 平均温度t

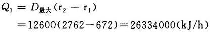
❺ 进入冷凝器的最大蒸汽量D最大

【公式及计算】

D最大=n(D6+D7) (1-2-57)

=2(1838+4460)=12600(kg/h)

❻ 按量均规律计算出蒸汽的平均温度t

【公式及计算】

查饱和蒸汽表得:温度为159C的饱和蒸汽的热焓为(r2)2762kJ/kg,液体热量为(r1)672kJ/kg。

❼ 蒸汽冷凝时放出的热量Q1

【公式及计算】

❽ 冷凝液冷却时放出的热量Q2

【公式及计算】

Q2=D最大(r1-Ct) (1-2-59)

=12600(672-4.1868×60)

=5304600(kJ/h)

❾ 总放热量计算Q

Q=Q1+Q2=26334000+5304600

=31638600(kJ/h)

2.冷却水耗用量W

❶ 每小时最大用水量W最大

【公式及计算】

❷ 每吨浆冷却水的平均用量W

【公式及计算】

3.冷凝器所需的传热面积F

❶ 当蒸汽全部冷却为冷凝液时,冷却水的温度t3

【公式及计算】

❷ 冷却冷凝液期间的温度对数平均值t

【公式及计算】

❸ 冷却期间的温度平均差t4

【公式及计算】

❶ 所需传热面积F

冷凝蒸汽时所需传热面积F1

【说明】取传热系数K1=6280kJ/(m2.h.℃)。

【公式及计算】

冷却冷凝液时所需传热面积F2

【说明】取传热系数K2=4186.8kJ/(m2·h·C)

【公式及计算】

总传热面积F

F=F1+F2=36.8+14.6=51.4(m2)

4.冷凝器的单位传热面积计算

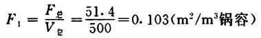
❶ 每日每吨风干浆传热面积F3

❷ 每米3锅容传热面积F1

随便看

 

离鸟网收录3541549条中英文词条,其功能与新华字典、现代汉语词典、牛津高阶英汉词典等各类中英文词典类似,基本涵盖了全部常用中英文字词句的读音、释义及用法,是语言学习和写作的有利工具。

 

Copyright © 2004-2024 vtrois.com All Rights Reserved
更新时间:2026/4/17 21:48:14