大M法
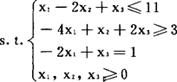
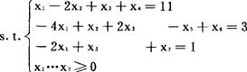
亦称罚因子法。 它是线性规划问题中,当约束条件中加入人工变量以后,为了使问题的解不受引入的人工变量的影响,而采用的一种算法。 M是一个很大的正数,当约束条件引入人工变量以后,若目标函数是极大化(MAX)问题,则引入的人工变量在目标函数中的系数为-M;若目标函数是极小化(Min)问题,则引入的人工变量在目标函数中的系数为+M。 设xk为引入的人工变量,则  例:MinZ=-3x1+x2+x3  在上述问题的约束条件中加入松弛变量x4,剩余变量x5,人工变量X6,x7后得到:MinZ=-3x1+x2+x3+Mx6+Mx7  变Min化 MAX化求解:  得最优解:x1*=4,x2*=1,x3*=9, MinZ=-Z=-2 |