网站首页  词典首页


请输入您要查询的字词:

 

字词 多马债务负担模型
类别 中英文字词句释义及详细解析
释义 多马债务负担模型

【内容介绍】:

一般认为,公债动员的资源是弥补财政赤字的最稳妥的资金来源,它使财政赤字与国民收入保持一定的比例。

但是,公债与国民收入之间的比例关系,是否导致财政危机,要视国民收入的增长情况而定。

由于政府连续举债,债务越来越多。如果利率水平不下降,公债利率必然要上升。如果利息总额用税收收入来偿付,结果税收的绝对量必然连续上升,于是债务负担就分摊在公众身上。

多马(Domar,1947)认为,公债负担不应由支付利息的数量(或由所需要的税收)来度量,而应由增加的税收与国民收入的比例来衡量。所以,他把债务负担定义为利息负担与国民收入的比率,或债务与国民收入的比率乘以债券的支付利率。他认为,如果国民收入恰巧增加,那么,债务的绝对增加实际上不会给公众带来任何负担;否则,债务的增加不但对公众是一种沉重负担,而且还会使财政崩溃。本文分析多马的债负模型,旨在探讨公债规模多大时,它不会给公众带来负担、使财政崩溃。

我们就国民收入的三种情况分析公债负担。首先,假定净借债量总与国民收入流量成比例,即国民收入的不变部分总变为新的公债,用Dt表示未偿还公债总额,则

Dt′=αYt 0<α<1 (1)

其次,假定公债利率i为常数。

国民收入在一定时期内保持固定不变如果国民收入在一定时期内保持固定不变,那么,

Yt′=0 (2)

Yt=Y0

而公债的时间路径为:

Dt=D0+αY0t (3)

于是,债务函数可表示为:

Bt=iDt/Yt

=(iD0+iαY0t)/Y0

=iαt+iD0/Y0 (4)

现在的问题是,如果政府新的借债无限制地继续增加,Bt将会发生什么情况?这就等于在问:当t趋于无穷大时,Bt的极限是什么?

求(4)式的极限值,得到:

国民收入按不变的绝对量增长 如果国民收入每单位时间增长一固定数额,则

Yt=v (v>0) (5)

由于Yt的导数是常量v,我们即可推导出:

Yt=vt+c

或者考虑到Y的初始值后,我们推导出:

Yt=Y0+vt (6)

公债的时间路径为:

Dt=D0+αY0t+αvt2/2 (7)

于是,我们得到如下债务负担函数:

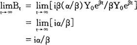
Bt=iDt/Yt

=(iD0+iαtY0+iαvt2/2)/(Y0+vt) (8)

所以,当t→∞时,我们需要计算出Bt的极限。依据洛必达法则,求Bt对t的微分,得到:

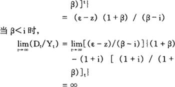
国民收入按不变的相对比例增长 如果国民收入按不变的相对比率β增长,则

Yt=βYt 0<β<1 (9)

成立。

根据(9)式,我们可得到Y的时间路径:

Yt=Aeβt (10)

或者考虑到初始条件后,也可以写成:

Yt=Y0eβt (11)

公债的时间路径为:

Dt=αY0eβt/β+D0-αY0/β (12)

因此,在国民收入以相对的比率增长的情况下,债务负担函数为:

Bt=iDt/Yt

=[i(α/β)Y0eβt+iD0-i(α/β)Y0]/Y0eβt (13)

所以,当t→∞时,(13)式的分子和分母都趋向于无穷,我们必须利用洛必达法则,求(13)式对t的微分,得到:

可见,在前两种情况下,随著公债举借的无限增加,债务负担的确无限增长;而在最后一种情况下,如果国民收入按不变的相对比率增长,债务负担就不会无限地增长,而是趋于有限的极值,其大小取决于参数α、β和i的数值。由此可见,债务负担能否保留在允许的水平上,取决于国民收入增长的情况。

但是,这并意味著只要国民收入增长,债务规模就可以无限增加。

根据多马法则,如果每年发行的公债保持占国民收入的一定比例,公债余额占国民收入的比率就收敛于一定的数值,财政就不会崩溃。

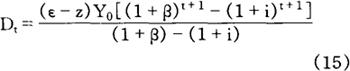
假定t年度支出占国民收入的名义增长率为β,t年度的公债余额为Dt,扣除税收额和利息支付额以后的年度支出占国民收入的比率分别为z和ε。当公债利率为i时,财政收支的平衡式可写成:

Dt-Dt-1=(ε-z)Y0(1+β)t+iDt-1 (14)

假定公债发行始于基年,且β≠i,则t年的公债余额为:

于是,公债余额占国民收入的比率为:

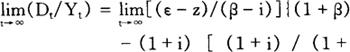
Dt/Yt=[(ε-z)/(β-i)]{(1+β)-(1+i)[(1+i)/(1+β)]t} (16)

所以,

当β>i时,

可见,如果当公债的利息是用增加的税收来支付,国民收入的名义增长率β大于利息率i(β>i)时,公债对国民收入的依存度将收敛于

(s-z)(1+β)/(β-i)

多马法则成立。

相反,如果当公债的利息是用发行新公债来支付的,国民收入的名义增长率β低于利息率i(β<i)时,公债对国民收入的依存度将发散于无穷大,多马法则不成立,财政濒于崩溃。。

【参考文献】:

财政赤字与通货膨胀的关系:发达国家与发展中国家的差异(Link Between Fiscal Deficits and Inflation:Some Contrasts Between Developed and Developing Countries)

长期赤字的可能性(Feasibility of Pemanent Deficit)

财政政策的可持续性(Sustainability of Fiscal Policy)

Domar,E.D.,1944,The Burden of the Debt and the National Income,American Economic Review 34.

郭庆旺、三好慎一郎、赵志耘,1993,《财政赤字经济分析》,黑龙江人民出版社

随便看

 

离鸟网收录3541549条中英文词条,其功能与新华字典、现代汉语词典、牛津高阶英汉词典等各类中英文词典类似,基本涵盖了全部常用中英文字词句的读音、释义及用法,是语言学习和写作的有利工具。

 

Copyright © 2004-2024 vtrois.com All Rights Reserved
更新时间:2026/4/18 0:29:05