网站首页  词典首页


请输入您要查询的字词:

 

字词 多项式除以单项式法则
类别 中英文字词句释义及详细解析
释义 多项式除以单项式法则

多项式除以单项式,先把这个多项式的每一项除以单项式,再把所得的商相加.

注意 多项式除以单项式,所得的商的项数与被除式的项数相同.

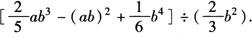
例 计算

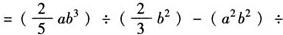
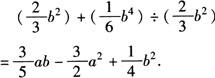
解 原式

随便看

 

离鸟网收录3541549条中英文词条,其功能与新华字典、现代汉语词典、牛津高阶英汉词典等各类中英文词典类似,基本涵盖了全部常用中英文字词句的读音、释义及用法,是语言学习和写作的有利工具。

 

Copyright © 2004-2024 vtrois.com All Rights Reserved
更新时间:2026/4/18 14:24:58