网站首页  词典首页


请输入您要查询的字词:

 

字词 多项式与多项式相乘法则
类别 中英文字词句释义及详细解析
释义 多项式与多项式相乘法则

多项式与多项式相乘,先用一个多项式的每一项乘另一个多项式的每一项,再把所得的积相加.

注意 1.多项式与多项式相乘时防止漏项.

2.多项式乘以多项式,其积在没有合并同类项前的项数应是这两个多项式项数的乘积.

3.多项式乘以多项式,结果仍是多项式.

4.最后的结果应合并所有的同类项.

例1 若(x-3)(x-n)=x2+mx-15,则m的值为( ).

A.-8 B.2

C.-2 D.-5

答 B.

[解析] (x-3)(x-n)=x2-nx-3x+3n=x2-(n+3)x+3n=x2+mx-15.

根据对应项系数相等

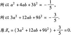
例2 若a+b=-1/5,a+3b=1,则3a2+12ab+9b2+3/5的值是( ).

答 D.

[解析] 已知两等式相乘为(a+b)(a+3b)=-1/5.

随便看

 

离鸟网收录3541549条中英文词条,其功能与新华字典、现代汉语词典、牛津高阶英汉词典等各类中英文词典类似,基本涵盖了全部常用中英文字词句的读音、释义及用法,是语言学习和写作的有利工具。

 

Copyright © 2004-2024 vtrois.com All Rights Reserved
更新时间:2026/4/17 23:44:00