网站首页  词典首页


请输入您要查询的字词:

 

字词 多项式
类别 中英文字词句释义及详细解析
释义 多项式

几个单项式的和叫做多项式.

注意 1.多项式中的各项一定包括前面的符号.

2.多项式的各项是单项式.

3.多项式中不含字母的项叫做常数项.

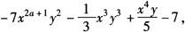
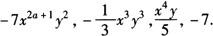
例 已知多项式

写出多项式中各项及其系数和次数

解 多项式中共有四项

它们的系数分别为-7,-1/3,1/5,-7.

它们的次数分别为2a+3,6,5,0.

随便看

 

离鸟网收录3541549条中英文词条,其功能与新华字典、现代汉语词典、牛津高阶英汉词典等各类中英文词典类似,基本涵盖了全部常用中英文字词句的读音、释义及用法,是语言学习和写作的有利工具。

 

Copyright © 2004-2024 vtrois.com All Rights Reserved
更新时间:2026/4/20 0:17:37