网站首页  词典首页


请输入您要查询的字词:

 

字词 多项对数单位模型
类别 中英文字词句释义及详细解析
释义 多项对数单位模型

对数单位模型的每个个体只有两项选择,若每个个体都面临多项选择,则模型为多项对数单位模型。

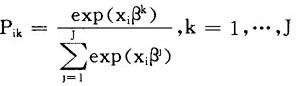
假设有J项选择,第i个个体选择了第k项选择的概率为:

定义变量dik,若第i个个体选择了第k项选择,则dik=1,否则,dik=0。于是对数似然函数为:

显然,若β=(β1,β2,…,βJ)使得对数似然函数最大化,则β+c=(β1+c,β2+c,…,βJ+c)也然(c为任意常数)。所以,必须对参数施加约束,不妨设β1=0。于是

这样,就可得到惟一的参数最大似然估计。

使用过这种模型的情形包括:个体选择就业,高考生选择学校以及消费者在几个商业区中选择到哪个区去购物等。在上述各种情况下,决策者都必须从一组有限的离散备选方案中选择一个行动。

随便看

 

离鸟网收录3541549条中英文词条,其功能与新华字典、现代汉语词典、牛津高阶英汉词典等各类中英文词典类似,基本涵盖了全部常用中英文字词句的读音、释义及用法,是语言学习和写作的有利工具。

 

Copyright © 2004-2024 vtrois.com All Rights Reserved
更新时间:2026/4/18 5:07:25