网站首页  词典首页


请输入您要查询的字词:

 

字词 多项分布
类别 中英文字词句释义及详细解析
释义 多项分布

指二项分布的推广。

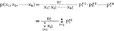
它涉及k个(k>2)可能结果的重复试验。如血型试验中可能有四种不同结果,产品可能分为一、二、三、四、五等,设这些结果的概率分别为p1,p2,……,pk,则:

假定作n次试验,令x1是第i个结果出现的次数,则随机变量x1,x2,…,xk概率分布为:

x1≥0,且

由于它是多项式(p1+p2+…+pk)n的展开式的一般项而得名。

上式中列出的x1有k-1个是独立的,当x1,x2……,xk-1决定后xk完全由所确定

式中:

xk=n-x1-x2-……-xk-1

多项分布是参数为n,p1,p2,…,pk-1的分布,pk=1-p1-p2-…-pk-1

二项分布中的许多结果都能平行地推广到多项分布。

随便看

 

离鸟网收录3541549条中英文词条,其功能与新华字典、现代汉语词典、牛津高阶英汉词典等各类中英文词典类似,基本涵盖了全部常用中英文字词句的读音、释义及用法,是语言学习和写作的有利工具。

 

Copyright © 2004-2024 vtrois.com All Rights Reserved
更新时间:2026/4/17 20:02:54