网站首页  词典首页


请输入您要查询的字词:

 

字词 多重指数平滑法
类别 中英文字词句释义及详细解析
释义 多重指数平滑法

在上一次计算的指数平滑平均数所组成的时间序列的基础上,按照选定的平滑常数,再一次加权平均,进行修匀处理,使时间序列呈现基本趋势的预测方法。

多重指数平滑法有二次指数平滑法、三次指数平滑法等多种方法。它们一般都不直接用以进行预测,而是用以求算平滑系数,建立线性或二次曲线模型,以修正指数平滑平均数的滞后偏差。三次以上的多重指数平滑法实际上很少应用。

(1)二次指数平滑法。

以一次指数平滑法计算得到的数据所形成的新的时间数列,再求一次指数平滑平均数的方法。为便于识别,一次指数平滑平均数写为,二次指数平滑平均数写为,其计算公式为:

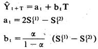
根据时间序列的线性趋势,可利用二次指数平滑平均数,计算平滑系数qt和bt,以建立线性预测方程,并根据第t时间的数据,对第T时间进行预测。

计算公式如下:

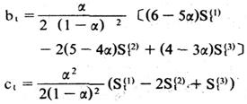
(2)三次指数平滑法。将二次指数平滑平均数所组成的时间数列,再一次按递减的权数,进行加权平均计算的方法。三次指数平滑平均数写为,其计算公式为:

利用三次指数平滑平均数,可计算平滑系数以建立二次曲线方程,进行趋势预测。

其预测模型为:

式中的t代表目前作为预测的起点第t时间,T代表由第t时间到需要预测的时间之间的时间个数。平滑系数的计算公式如下

随便看

 

离鸟网收录3541549条中英文词条,其功能与新华字典、现代汉语词典、牛津高阶英汉词典等各类中英文词典类似,基本涵盖了全部常用中英文字词句的读音、释义及用法,是语言学习和写作的有利工具。

 

Copyright © 2004-2024 vtrois.com All Rights Reserved
更新时间:2026/4/19 10:49:50