网站首页  词典首页


请输入您要查询的字词:

 

字词 多辊压榨中高计算
类别 中英文字词句释义及详细解析
释义 多辊压榨中高计算

计算中的代表符号:

F1F2——各辊的附加压力,N

q1、q2——各压区的线压,kN/m

E1、E2——各辊的弹性模数,MPa

I1、I2——各辊的转动惯量,m4

b——辊面宽,m

L——辊子轴承中心距,m

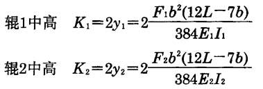
K1、K2、K3——各辊间的中高度,mm

y1、y2、y3——各辊的挠度,mm

D1、D2、D3——各辊直径,m

1.水平式三辊压榨中高计算

水平式三辊压榨,天然石(或人造石)中辊固定在机座上,通常线压q2>q1,即附加压力P2>P1,计算中高时,可忽略辊自重在垂直面上所引起的中高。

y1——辊1在附加压力P1作用下,所产生的挠度,mm

2.垂直式三辊压榨中高的计算

垂直式三辊压榨(图11-4-106)的中辊2是固定在机架上(如果是下辊固定在机架上,中高则按压光机中高计算)。通常线压q2>q1、辊1及辊2为真空辊,辊1的附加压力P1=q1b+G1(辊1自重)(N)。

辊3的附加压力F2=q2b-G3(辊3自重)(N)。

中间辊2则受有(q2b-q1b)+G2(辊2自重)的力,按此力的负荷,同样按水平式三辊压榨中高分配的计算方法计算。

3.斜立式三辊压榨中高计算

斜立式三辊(图11-4-107)的中辊2是固定在机架上,倾斜面与垂直线的夹角r,中高计算应在倾斜面上,中辊2为花岗石辊,辊1辊3为真空辊,附加压力F1及F2按前面所列斜立式三辊压榨,真空压榨上辊及真空压榨下辊在倾斜面上总负荷计算方法,在工作线压下计算出工作时所需的附加压力F1及F2,以及中间辊在(q2b-q1b)+G(中辊2自重)cosr负荷作用下分别计算辊1、2及3挠度,再按水平式三辊压榨中高的计算及中高分配方法进行计算。

4.堆垒式多辊复式压榨中高计算

堆垒式多辊复合压榨(图11-4-108)的花岗石下辊直径为1200mm到1500mm,两个上辊1及2均为真空辊。对于堆垒式多辊复式压榨,在线压及自重作用下的挠度,可分为水平和垂直两挠度,然后再计算每对辊子在水平和垂直两平面内的挠度和,由此再计算压榨辊所必须的中高。

花岗石下辊直径很大,一般为1200~1500mm,此辊在两个真空压榨上辊1及2的线压力合力及自身重量作用下,由于直径大,惯性矩大,刚度极高,而产生挠度则极微,(挠度仅为百分之几毫米),因此大花岗石下辊可以不分配中高,按照附加压力F1及F2计算辊1及辊2的挠度而定中高。

其中真空辊附加压力F1及F2按前面所列真空压榨上辊附加压力的计算方法计算。

随便看

 

离鸟网收录3541549条中英文词条,其功能与新华字典、现代汉语词典、牛津高阶英汉词典等各类中英文词典类似,基本涵盖了全部常用中英文字词句的读音、释义及用法,是语言学习和写作的有利工具。

 

Copyright © 2004-2024 vtrois.com All Rights Reserved
更新时间:2026/4/19 0:07:29