网站首页  词典首页


请输入您要查询的字词:

 

字词 多西环素
类别 中英文字词句释义及详细解析
释义 多西环素

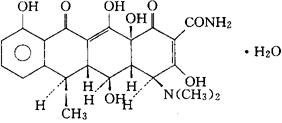
C22H24N2O8·H2O=462.46

CAS-17086-28-1

CAS-564-25-0(anhydrous)

[4S-(4α,4aα,5α,5aα,6α,12aα,]-4-(二甲氨基)-1,4,4a,5a,6,11,12a-八氢-3,5,10,12,12a-五羟-6-甲基-1,11-二氧代-2-并四苯羧酰胺一水化合物。

[4S-(4α,4aα,5α,5aα,6α,12aα,]-4-(Dimethylamino)-1,4,4a,5a,6,11,12a-octahydro-3,5,10,12,12a-pentahydroxy-6-methyl-1,11-dioxo-2-naphthacenecarboxamide,monohydrate.

4-(二甲氨基)-1,4,4a,5,5α,6,11,12a-八氢-3,5,10,12,12a-五羟-6-甲基-1,11-二氧-2-并四苯羧酰胺一水合物。

4-(Dimethylamino)-1,4,4a,5,5α,6,11,12a-octahydro-3,5,10,12,12a-pentahydroxy-6-methyl-1,11-dioxo-2-naphthacenecarboxamide monohydrate.

抗生素类药。

脱氧土霉素。

Doxycycline,GS-3065.

INN,BAN,USAN,USP.

随便看

 

离鸟网收录3541549条中英文词条,其功能与新华字典、现代汉语词典、牛津高阶英汉词典等各类中英文词典类似,基本涵盖了全部常用中英文字词句的读音、释义及用法,是语言学习和写作的有利工具。

 

Copyright © 2004-2024 vtrois.com All Rights Reserved
更新时间:2026/4/19 5:11:31