网站首页  词典首页


请输入您要查询的字词:

 

字词 多西他索
类别 中英文字词句释义及详细解析
释义 多西他索

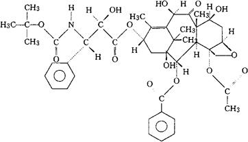
C43H53NO14=807.89

CAS-114977-28-5

(2R,3S)-N-羧-3-苯基异丝氨酸N-叔-丁酯,与5β,20-环氧-1,2α,4,7β,10β,13α-六羟杉-11-烯-9-酮形成13酯4-醋酸酯2-苯甲酸酯。

(2R,3S)-N-Carboxy-3-phenylisoserine,N-tert-butyl ester,13-ester with 5β,20-epoxy-1,2α,4,7β,10β,13α-hexahydroxytax-11-en-9-one 4-acetate 2-benzoate.

Docetaxol.

INN,USAN.

随便看

 

离鸟网收录3541549条中英文词条,其功能与新华字典、现代汉语词典、牛津高阶英汉词典等各类中英文词典类似,基本涵盖了全部常用中英文字词句的读音、释义及用法,是语言学习和写作的有利工具。

 

Copyright © 2004-2024 vtrois.com All Rights Reserved
更新时间:2026/4/19 13:24:58