网站首页  词典首页


请输入您要查询的字词:

 

字词 多级泵的比转数计算
类别 中英文字词句释义及详细解析
释义 多级泵的比转数计算

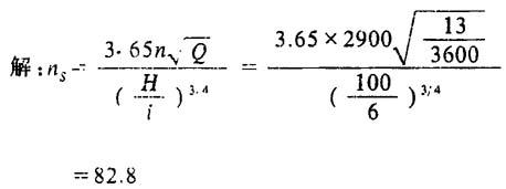
[说明]多级泵实际上相当于i台单级泵合装在一根轴上,然后串联工作。其比转数计算如下。

式中 i——多级泵的级数

其它同上

[例]若一台多级泵的参数为Q=15m3/h,H=100m,n=2900r/min,i=6,求nS

随便看

 

离鸟网收录3541549条中英文词条,其功能与新华字典、现代汉语词典、牛津高阶英汉词典等各类中英文词典类似,基本涵盖了全部常用中英文字词句的读音、释义及用法,是语言学习和写作的有利工具。

 

Copyright © 2004-2024 vtrois.com All Rights Reserved
更新时间:2026/4/18 9:17:12