网站首页  词典首页


请输入您要查询的字词:

 

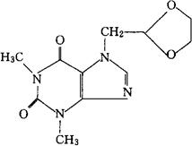
字词 多索茶碱
类别 中英文字词句释义及详细解析
释义 多索茶碱

C11H14N4O4=266.26

CAS-69975-86-6

7-(1,3-二氧环戊-2-基甲基)-3,7-二氢-1,3-二甲基-1H-嘌呤-2,6-二酮。

7-(1,3-Dioxolan-2-ylmethyl)-3,7-dihydro-1,3-dimethyl-1H-purine-2,6-dione.

7-(1,3-二氧戊环-2-基甲基)茶碱。

7-(1,3-Dioxolan-2-ylmethyl)theophylline.

镇咳药,支气管扩张药。

多索菲林。

Doxofylline,ABC 12/3,Ansimar,Maxivent.

INN,USAN.

随便看

 

离鸟网收录3541549条中英文词条,其功能与新华字典、现代汉语词典、牛津高阶英汉词典等各类中英文词典类似,基本涵盖了全部常用中英文字词句的读音、释义及用法,是语言学习和写作的有利工具。

 

Copyright © 2004-2024 vtrois.com All Rights Reserved
更新时间:2026/4/18 19:34:44