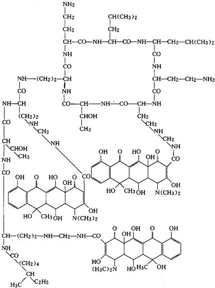
多粘环素
C122H172N22O40=2586.82 CAS-58298-92-3 由一分子粘菌素与三分子土霉素在甲醛存在下的反应产物。 Reartion product of one molecule of colistin with three molecules of oxytetracycline in presence of formaldehyde. N,N′N′′-三[[4-(二甲氨基)-1,4,4a,5,5a,6,11,12a-八氢-3,5,6,10,12,12a-六羟-6-甲基-1,11-二氧代-2-并四苯甲酰胺基]甲基]多粘菌素E。 N,N′,N′′-Tris[[4-(dimethylamino)-1,4,4a,5,5a,6,11,12a-octahydro-3,5,6,10,12,12a-hexahyroxy-6-methyl-1,11-dioxo-2-naphthacenecarboxamido]methyl]polymyxin E. 抗生素类药。 Colimecyceime. INN,DCF,USAN.  |