网站首页  词典首页


请输入您要查询的字词:

 

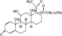
字词 多泼尼酯
类别 中英文字词句释义及详细解析
释义 多泼尼酯

C26H36O5=428.57

CAS-66877-67-6

11β-17a-二羟基-D-高孕甾-1,4-二烯-3,20-二酮17a丁酸酯。

11β,17a-Dihydroxy-D-homopregna-1,4-diene-3,-20-dione 17a-butyrate.

肾上腺皮质激素类药。

Domoprednate.

INN,USAN.

随便看

 

离鸟网收录3541549条中英文词条,其功能与新华字典、现代汉语词典、牛津高阶英汉词典等各类中英文词典类似,基本涵盖了全部常用中英文字词句的读音、释义及用法,是语言学习和写作的有利工具。

 

Copyright © 2004-2024 vtrois.com All Rights Reserved
更新时间:2026/4/21 21:30:23