网站首页  词典首页


请输入您要查询的字词:

 

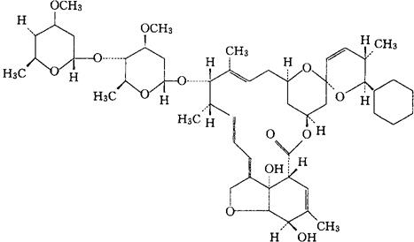
字词 多拉克丁
类别 中英文字词句释义及详细解析
释义 多拉克丁

C50H74O14=871.23

CAS-117704-25-3

25-环己基-5-O-去甲基-25-去(1-甲基丙基)-阿佛菌素Ala

Avermectin Ala,25-cyclohexyl-5-O-demethyl-25-de(1-methylpropyl)-.

抗寄生虫药(兽用)。

Doramectin,UK-67.994.

INN,BAN,USAN.

随便看

 

离鸟网收录3541549条中英文词条,其功能与新华字典、现代汉语词典、牛津高阶英汉词典等各类中英文词典类似,基本涵盖了全部常用中英文字词句的读音、释义及用法,是语言学习和写作的有利工具。

 

Copyright © 2004-2024 vtrois.com All Rights Reserved
更新时间:2026/4/18 19:41:47