网站首页  词典首页


请输入您要查询的字词:

 

字词 多抗霉素
类别 中英文字词句释义及详细解析
释义 多抗霉素

又称多氧霉素。

农用抗菌素。由可可链霉菌产生的13种化合物。

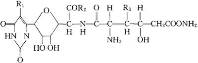
化学名称:缩氨肽嘧啶核莓。化学结构式如下。

纯品黄色粉末,易溶于水,对紫外光、酸稳定。13种物质中多氧霉素B对梨黑斑病,多氧霉素D对水稻纹枯病有高效。

具内吸作用,多氧霉素D施入土壤后,可被水稻根部吸收,向上运转,叶面喷洒具渗透作用。对病菌的作用是通过对几丁质合成酶的竞争性抑制,使几丁质合成受阻,从而影响真菌细胞壁的形成。菌丝畸形不能正常生长,对植物安全,对人畜低毒。

随便看

 

离鸟网收录3541549条中英文词条,其功能与新华字典、现代汉语词典、牛津高阶英汉词典等各类中英文词典类似,基本涵盖了全部常用中英文字词句的读音、释义及用法,是语言学习和写作的有利工具。

 

Copyright © 2004-2024 vtrois.com All Rights Reserved
更新时间:2026/4/19 22:54:44