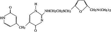
多奈替丁
C20H25N5O3S=415.51 CAS-99248-32-5 5-[(1,2-二氢-2-氧代-4-吡啶基)甲基]-2-[[2-[[[5-[(二甲氨基)甲基]-2-呋喃基]甲基]硫代]乙基]氨基]-4(1H)-嘧啶酮。 5-[(1,2-Dihydro-2-oxo-4-pyridinyl)methyl]-2-[[2- [[[5-[(dimethylamino)methyl]-2-furanyl]methyl]thio]ethyl]amino]-4(1H)-pyrimidinone. 5-[(1,2-二氢-2-氧代-4-吡啶基)甲基]-2-[[2-[[5-[(二甲基氨基)甲基]糠基]硫代]乙基]氨基]-4(1H)-嘧啶酮。 5-[(1,2-Dihydro-2-oxo-4-pyridyl)methyl]-2-[][2-[[5-[(dimethylamino)methyl]furfuryl]thio]ethyl]amino]-4(1H)-pyrimidinone. 组胺H2-受体阻滞药。 Donetidine,SK&F 93574. INN,BAN,USAN.  |