多变量函数微分法则
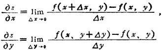
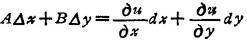
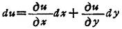
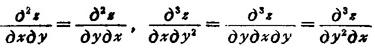
7.5.1 偏导数 设z=f(x,y),则  分别称为函数z=f(x,y),关于x、y的偏导数。其求法可按单变量函数微分法则求出,只须将其余变量看作常数。其定义可推广到多变量函数。 7.5.2 偏微分、可微函数、全微分 多变量函数对其中一个变量的偏微分为  若函数u=f(x,y)的全设变量可写为 △u=f(x+△x,y+△y)-f(x,y)=A△x+B△y+0Cρ) 式中A,B与△x,△y无关。 ,则称函数u=f(x、y)在点(x、y)可微分,且偏导数 , 一定存在,而且  设变量的线性主部  称为函数u=f(x,y)的全微分,记作  以上定义可以推广到u=f(x1,x2,x2,…xn)的一般形式。 7.5.3 复合函数微分法 设g=f(u,v,…,ω),而u,v,…,ω都是x,y,…,t的函数,则  7.5.4 混合偏导数的性质 若混合偏导数连续,则与微分的顺序无关。例如:  |