网站首页  词典首页


请输入您要查询的字词:

 

字词 多元线性回归预测法
类别 中英文字词句释义及详细解析
释义 多元线性回归预测法

指利用多个因变量与自变量之间的关系进行预测的方法,其特点是影响预测值的因素有多个,且这多个因素与预测值之间成线性关系。

其数学模式为

y=a+b1x1+b2x2+b3x3+…+bnXn

式中:y表示预测值;x1、x2、x3……x8表示自变量a、b1、b2……bn表示回归系数。

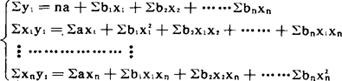
a、b1、b2……bn由下列方程组求得:

利用统计资料求出a、b1、b2…bn后,就可建立上述的预测数学模型,然后利用此模型方能进行预测。

随便看

 

离鸟网收录3541549条中英文词条,其功能与新华字典、现代汉语词典、牛津高阶英汉词典等各类中英文词典类似,基本涵盖了全部常用中英文字词句的读音、释义及用法,是语言学习和写作的有利工具。

 

Copyright © 2004-2024 vtrois.com All Rights Reserved
更新时间:2026/4/18 6:21:12