网站首页  词典首页


请输入您要查询的字词:

 

字词 多他利嗪
类别 中英文字词句释义及详细解析
释义 多他利嗪

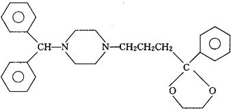
C29H34N2O2=442.60

CAS-84625-59-2

1-(二苯甲基-4-[3-(2-苯基-1,3-二氧戊环-2-基)丙基]哌嗪。

1-(Diphenylmethyl-4-[3-(2-phenyl-1,3-dioxolan-2-yl)propyl]piperazine.

钙通道阻滞药。

Dotarizine.

INN,USAN.

随便看

 

离鸟网收录3541549条中英文词条,其功能与新华字典、现代汉语词典、牛津高阶英汉词典等各类中英文词典类似,基本涵盖了全部常用中英文字词句的读音、释义及用法,是语言学习和写作的有利工具。

 

Copyright © 2004-2024 vtrois.com All Rights Reserved
更新时间:2026/4/19 0:08:10